颜色色彩管理、配色

纺织色差仪色差计算常用的几个色差公式
纺织色差仪是纺织行业常用的颜色管理及色差测量仪器,该类仪器内置多种类型的色差公式,可以对纺织品之间的颜色差异值进行量化的分析,并给出具体的数值。本文对纺织色差仪色差计算常用的几个色差公式做了介绍。

纺织色差仪色差计算公式提出:
色差是指两种试样在颜色知觉上包含明度差、彩度差以及色相差等多方面因素的综合效应,通过对色差的在一定宽容度下的评估,可以很好地对配色质量尽心控制。颜色色差的计算需要建立在一个均匀的色空间之中,在色差公式中,不同的颜色空间建立方式会导致计算方法的不同,得出的颜色结果与视觉之间的差异也会因为颜色空间的不同而有所不同。从1931年开始,学者们已经尝试提出过几十种均匀颜色空间,而CIE也曾先后提出过CIEUCS和CIEWUV,然而它们的效果并未达到预期。直到1976年,CIE通过了CIELAB均匀颜色空间,CIELAB能够更加准确地捕捉色彩的变化,更加精确地表达色彩的变化,因此成为了目前应用最广泛的均匀颜色空间之一。
然而,即使是建立了一个优秀的颜色空间,也无法保证对颜色的评价始终保持一致。视觉对颜色的感知具有极大的变化性,也导致了计算所得的颜色与人眼观察的颜色总是存在差异。因此,在计算所得颜色的基础上进行适当的修正是必要的,以使其更接近于人眼观察所得的颜色。不同的修正方法会导致不同的计算公式,目前已经发表了多达几十个不同的色差公式,其中应用比较多的主要包括:CIELAB(L*a*b*)色差公式、CMC(l:c)色差公式等。
纺织色差仪色差计算常用色差公式类型:
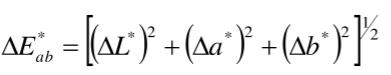
1.CIELAB(L*a*b*)色差公式
CIELAB(L*a*b*)色差公式是一种建立在孟塞尔颜色系统之上的计算公式,在该颜色空间中,只有黄、蓝、红、绿四种基本色,每一个点都可以用其黄、蓝或红、绿的程度来表示。在这个三维的颜色空间中,L*轴用来表示颜色的明亮程度,称为明度,其取值在0~100,数值越高则明度越高;a*轴用来表示颜色的红绿特征,如果其数值是正值,则表示颜色是偏红的,反之则意味着颜色偏向于绿色;b*轴用来表示颜色的黄蓝特性,如果其数值是正值,意味着颜色偏向于黄色,反之则意味着颜色偏向于蓝色。CIELAB色空间色差的定义就是两个颜色在CIELAB均色空间的欧式距离,具体色差公式为:

式中,△L*、△a*、△b*分别为样品与标准样在L*、a*、b*上的差值。
2.CIELAB(L*C*H*)色差公式
与CIELAB色差公式用 a*、b*表示颜色的红绿、黄蓝程度不同,CIELAB(L*C*H*)色差公式则是用C*、H*表示颜色的鲜艳程度与颜色在色相环上的色度角。彩度C*用a*轴与b*轴所处的平面表示,在此颜色空间上的任意一点到平面中心轴线的距离为该点的彩度值。色相角H*该点与平面中心线的连线与a*轴沿着逆时针方向上形成的夹角表示。CIELAB(L*C*H*)色差公式与CIELAB色差公式相似:

3.CMC(l:c)色差公式
CMC(l:c)色差公式通过引入参数l和c,分别对CIELAB色差公式中的△L*、C*、△H*进行修正,使色差均匀度得到了改善。CMC(l:c)色差公式的公式为:

式中,分母里的SL、SC、SH分别为△L*、△C*、△H*的修正系数,l和c是用于调整相对明度和彩度的宽容系数。