颜色色彩管理、配色

Hunter Lab颜色空间及Hunter Lab色差公式
Hunter Lab颜色空间是Hunter提出的一个颜色空间,该颜色空间与CIELab颜色空间一样,都是从CIEXYZ颜色空间导出的一个颜色空间,用L、a、b三个维度对颜色进行描述。本文对Hunter Lab颜色空间及Hunter Lab色差公式做了介绍。

Hunter Lab颜色空间:
Hunter Lab颜色空间是一个基于对立颜色学说的三维矩形空间,如下图所示,与CIE L*a*b*色彩体系相类似,同一颜色在这两个颜色空间中的数值是不同的,Hunter Lab在颜色空间的蓝色部分是收缩的,CIE L*a*b*在颜色空间的黄色部分是过度扩张的;都是由CIEXYZ体系导出的,L(明度)轴代表黑,100代表白。a(红一绿)轴:其中正值为红;负值为绿。b(蓝一黄)轴:其中正值为黄;负值为蓝。L值越大,物体颜色越白;L值越小,物体颜色越黑。沿(+a)方向红色逐渐加深,沿(-a)方向绿色逐渐加深。沿(+b)方向黄色逐渐加深,沿(-b)方向蓝色逐渐加深。其表达式如下:

其中:L为明度;a、b为色度;X、Y、Z为物体的三刺激值;Xn、Yn、Zn为完全反射面的三刺激值;Ka、Kb为调整因子。
Hunter Lab色差公式:
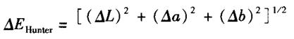
Hunter色差公式是由亨特(Hunter)为使光电色度计读数方便,而于1948年提出的Lab对抗色系统中计算色差的公式,大多用于陶瓷、塑料和纺织品等,一般可满足工业生产管理的需要。Hunter Lab色差公式和CIELab公式相似,在该公式中,L表示物体反射光的明度,a表示反射光中红色与绿色的成分,b表示反射光中黄色与蓝色的成分。因此,Lab系统的色差公式可表示为:

式中:△L、△a、△b分别为两个物体表面色的明度差和色品坐标差。
通过以上公式计算出来的色差有以下特点:
1.色差总是以(试样-标样)的值来计算的;
2.如果△L*为正,试样比标样浅;如果△L*为负,试样比标样深;
3.如果△a*为正,试样比标样更红(或少缘);如果△a*为负,试样比标样更绿(或少红);
4.如果△b*为正,试样比标样更黄(或少蓝);如果△b*为负,试样比标样更蓝(或少黄);
5.由于色空间的非均匀性,通常是较浅的颜色有较大的L*允差,较小的a*和b*允差;
6.对彩度(饱和度)较大的颜色,有较大的a*和b*允差;
7.当HunterL、a、b矩形坐标被用作三维色差空间时,结果可接受的样品是紧缩在一个矩形框内。