颜色色彩管理、配色

RGB颜色空间与CMYK、CIELab颜色空间转换式
RGB颜色空间是三基色颜色空间,它用三个分量对颜色进行描述,是许多颜色空间进行转换的桥梁。那么,RGB颜色空间与CMYK、CIELab颜色空间怎么转换?本文对RGB颜色空间与CMYK、CIELab颜色空间转换式做了简要的介绍。

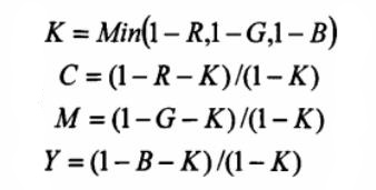
RGB颜色空间与CMYK颜色空间转换式:
RGB颜色空间向CMYK颜色空间的转换,从理论上讲,由于CMY是RGB的补色,当RGB转换成CMY时,CMYK值可通过下列公式计算:

式中,C、M、Y、色料三原色的量,用百分比表示;R、G、B为色光三原色转换为百分比的量。
CMYK颜色空间至RGB颜色空间的转换公式为:

式中RGB值计算出来为百分比含量,还要转化为0~255的值,如某一色卡由上式计算出来R=92.16%,G=67.84%,B=53.73%,则RGB空间值为R=235,G=173,B=137。
RGB颜色空间与CIELab颜色空间转换式:
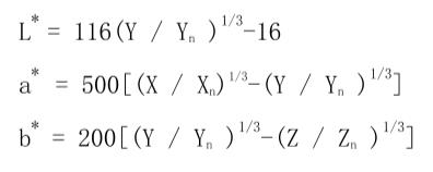
RBG颜色空间到CIELab颜色空间的转换分成两步:首先,RGB颜色空间先转到XYZ空间,转换公式如下所示:

X、Y、Z指的是图像中某像素点的三刺激值,而Xn、Yn、Zn则是样品采集时所使用光源对应的标准照明体系的三刺激值,其取值分别为95.04、100、108.89。
然后,再从XYZ空间转到CIELab空间,转换公式如下所示:

RGB颜色空间的色差公式是怎么样的?
RGB颜色模型以R(红)、G(绿)、B(蓝)三个色光为三基色,自然界的颜色可以通过其不同程度的叠加而产生。RGB颜色模型中各参数的取值范围为0~255,共 256个等级,所以三原色分量全部组合起来可表示1600多万种不同的颜色,它比人眼能分辨的颜色种类还要多得多。由于RGB颜色空间的颜色信息包含于R、G、B这三个分量,因此表示待测目标的颜色与标准颜色的差异就需要结合三个分量进行距离计算。基于RGB颜色空间的标准色差定义为:

由于不同的颜色对人主观感受的影响有别,在实际的应用中一般采纳经验色差公式,即:
