颜色色彩管理、配色
咨询热线:400-888-5135 020-82880288

CIELab颜色空间色差公式的两种不同表示形式
信息来源:三恩时品牌厂家
浏览次数:938
发表时间:2025-11-11
CIELab颜色空间是色差仪等颜色测量仪器中常用的颜色空间,该颜色空间可以用L、a、b值对颜色进行描述,也可以使用其极坐标L、c、h对颜色进行描述,因此就会存在不同的色差计算式。本文对CIELab颜色空间色差公式的两种不同表示形式做了介绍。

CIELab颜色空间色差公式的两种不同表示形式:
CIELab色差公式是ANLAB色差公式的简化模型。1976年被推荐替代ANLAB以提高在工业应用上的均匀性和简单性。L*a*b*公式以两种坐标形式(直角坐标和柱坐标)给出。
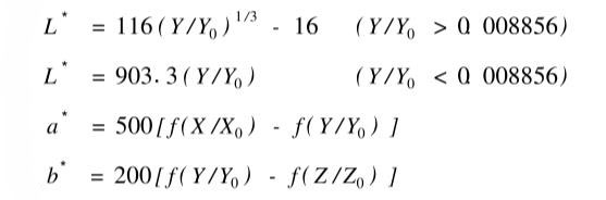
1.直角坐标表示形式

这里,X、Y和Z是色样的三刺激值,而X0、Y0和Z0是照明光源的三刺激值。
总的色差的计算公式为:

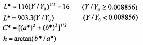
2.柱坐标表示形式

其中C*定义为米制彩度,h定义为米制色调角(0度~360度)。
柱坐标形式的色差为:

Hunter Lab颜色空间色差公式的形式:
Hunter Lab颜色空间是一个基于对立颜色学说的三维矩形空间,与CIELab色彩体系相类似,同一颜色在这两个颜色空间中的数值是不同的,Hunter Lab在颜色空间的蓝色部分是收缩的,CIELab在颜色空间的黄色部分是过度扩张的;都是由CIEXYZ体系导出的。其表达式为:

其中:L为明度;a、b为色度;L值越大,物体颜色越白;L值越小,物体颜色越黑。沿(+a)方向红色逐渐加深,沿(-a)方向绿色逐渐加深。沿(+b)方向黄色逐渐加深,沿(-b)方向蓝色逐渐加深。X、Y、Z为物体的三刺激值;Xn、Yn、Zn为完全反射面的三刺激值;Ka、Kb为调整因子。
Hunter Lab色差公式和CIELAB公式相似,该公式中L表示物体反射光的亮度,a和b分别表示反射光中的红绿成分和黄蓝成分。其表达式如下:

式中:△L、△a、△b分别为两个物体表面色的明度差和色品坐标差。
上一页 : 分光测色仪的精密度和准确度用什么表示?