颜色色彩管理、配色

色差仪△E*ab色差公式字母符号的含义及作用
△E*ab色差公式是色差仪常用的色差公式,是在CIELab颜色空间的基础上发展起来的一个色差公式,可以用△L*、△a*、△b*值,也可以用极坐标CIELch颜色空间的△L*、△C*ab、△H*ab值来表示。本文对色差仪△E*ab色差公式字母符号的含义及作用做了介绍。

色差仪△E*ab色差公式:
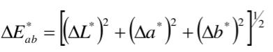
ΔE*ab色差公式是CIELAB色差公式的简称,是色差仪中目前使用最为广泛的一个色差公式。CIELAB色差公式是基于近似均匀的三维颜色空间建立的,由直角坐标L*、a*、b*构成,国际照明委员会推荐使用。该色差公式建立在CIELAB颜色空间之上,在L*a*b*公式中,L*表示明度,a*表示红色和绿色的成分,b*表示黄色和蓝色的成分。若两个颜色都是按照L*a*b*标定的,则两个颜色之间的色差可以用欧式距离来计算:

其中,△L*是CIELAB空间的明度差,△a*是CIELAB空间的红绿色光差,△b*是CIELAB空间的黄蓝色光差。△a*和△b*表示样本和标准在ab*平面上位置的改变。如果将CIELab均匀颜色空间转化为极坐标空间,则能更好地表示色差的性质,极坐标空间用LCH表示。因此,CIELAB色差公式也可以用明度差△L*、彩度差△C*ab和色相差△H*ab来定义,即:

色差仪△E*ab色差公式字母符号的含义及作用:
1.△L*:△L*=L1*-L2*
△L*是亮度差,指测试样本和标准样本的颜色深浅差。如果△L*>0,则测试样本亮度比标准样本亮度浅,如果△L*<0,则测试样本亮度比标准样本亮度深。
2.△a*、△b*:△a*=a1*-a2*、△b*=b1*-b2*
△a、△b表示色调偏差,在测色配色系统的颜色检测中,不仅要考虑总色差值,还要考虑分色差值,这样有利于分析样品颜色深浅和色调鲜艳度在总色差中的百分比权重。
3.ΔC*ab:ΔC*ab=ΔC*ab,1-ΔC*ab,2
ΔC*ab饱和度差,表示颜色偏离亮度灰色的程度,即用来描述样本的颜色鲜艳度。如果C*c>0,则表示测试样本比标准样本颜色鲜艳,如果C*c<0,则表示标准样本比测试样本颜色鲜艳。
4.△H*ab:△H*ab=△H*ab,1-△H*ab,2
△H*ab表示色相角差,在a*和b*平面的样本颜色点相对于标准颜色点的位置关系决定了色相角ΔH*的大小。△H*ab>0,表示样品色位于标准色的逆时针方向上;△H*ab<0,说明样品色位于标准色的顺时针方向上。根据标准色所处的位置,就可以判断样品色是偏绿还是偏黄。