颜色色彩管理、配色

色差仪常用均匀颜色空间类型及色差公式
为了对颜色进行定量的描述,色度学规定了多个用于颜色测量的色彩空间,但由于这些色度空间在描述颜色时与人眼之间的一致性较差,因此为了缩小这种差异,色度学规定了用于颜色检测的均匀颜色空间。本文对色差仪常用均匀颜色空间类型及色差公式做了介绍。

CIELab均匀颜色空间及色差公式:
1.CIELab颜色空间
CIELAB颜色空间是由CIE(国际照明委员会)组织所确定的一个理论上包括了人眼可以看的见的所有色彩模式,是目前色差仪中最为常见的颜色空间,由L(明度)、a(色度)、b(色度)共同组成,其含义如下:
L(明度):表示颜色的明亮程度,取值范围是0(绝对黑色)到100(绝对白色)。
a(红绿轴):代表颜色在红绿色轴上的位置。a值为正数时表示颜色偏红,数值越大红色的成分越明显;a值为负数时表示颜色偏绿,绝对值越大绿色的成分越突出。在色彩分析中,a值可用于量化颜色在红绿色调方面的特征。
b(黄蓝轴):表示颜色在黄蓝色轴上的位置。b值为正数时表示颜色偏黄,数值越大黄色的成分越多;b值为负数时表示颜色偏蓝,绝对值越大蓝色的成分越显著。b值在描述颜色的色调和进行颜色匹配时非常关键。
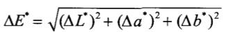
2.CIELAB色差公式
CIELAB色差公式是基于近似均匀的三维颜色空间建立的,由直角坐标L*、a*、b*构成,国际照明委员会推荐使用。该色差公式建立在CIELAB颜色空间之上的,其颜色属性差异可以用△L*、△a*、△b*,总色差使用三维空间中两种颜色坐标之间的欧几里得距离表示,如下所示:

CIELch均匀颜色空间及色差公式:
1.CIELch颜色空间
色差宝中的CIELCH颜色空间是从CIELAB颜色空间衍生而来的圆柱形色彩模型,以更直观的方式来描述颜色。该颜色空间由L、C、H表示。纵坐标L*值同样对应于颜色三要素的明度,圆心处为颜色的饱和度C*,H*为色调。具体含义如下:
L(明度):与CIELAB中的L含义相同,取值范围为0至100。0代表黑色,100代表白色,中间值表示不同程度的灰色或带有明度的色彩,如L=50时相当于50%的黑,它体现了颜色的明亮程度。
C(饱和度/彩度):表示颜色的纯度或强度,取值范围一般为0至181。0表示灰色,即颜色完全不饱和,没有色彩倾向;离圆心越远,C值越大,颜色越鲜艳、饱和,如C=181时表示颜色达到最大饱和度。
H(色调角/色相):代表颜色的具体色相,取值范围是0°至360°。以正a轴(红色)为0°,逆时针方向增加,正b轴(黄色)为90°,负a轴(绿色)为180°,负b轴(蓝色)为270°,不同的角度对应不同的颜色。
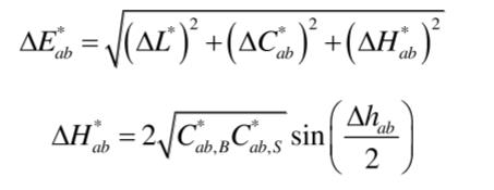
2.CIELch色差公式
CIELch色差公式是在CIELab色差公式基础上进一步发展的,它将色度信息转换为柱坐标形式,分别表示颜色的亮度(L)、色度(c)和色相(h)。通过将样品色彩和标准色彩的 Lch值代入公式中,计算两者之间的欧氏距离,得到色差值。相比于Lab色差公式,Lch色差公式更加直观,更符合人眼对颜色的感知。其计算公式如下:

CIELuv均匀颜色空间及色差公式:
1.CIELuv颜色空间
CIELuv颜色空间与CIELab颜色空间相似,它由L(亮度)、u*(绿-红方向的色度坐标)、v*(蓝-黄方向的色度坐标)三个参数组成。三者相互垂直构成色空间来描述相对应的亮度和色度量:垂直的轴是明度L*,位于水平面且互相垂直的是色品指数u*和 v*。具体含义如下:
L(亮度):表示颜色的明亮程度,与CIELab色彩空间中的L意义类似。取值范围从0(绝对黑色)到100(绝对白色)。
u(色度坐标):是描述颜色在红绿蓝维度上位置的一个参数。u值的正负和大小反映了颜色在该维度上的偏向和程度。u为正值时,表示颜色在该维度上偏向红色或黄色方向的程度;u*为负值时,表示颜色偏向绿色或蓝色方向的程度。
v(色度坐标):同样是描述颜色在红绿蓝维度上位置的参数,与u共同决定颜色的色度。v值的变化反映了颜色在另一个维度上的偏向和程度,与u相互配合来完整地表达颜色的色度特性。v值为正时,颜色偏向黄色或蓝色方向;v*值为负时,颜色偏向红色或绿色方向。
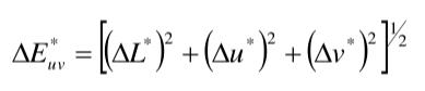
2.CIELuv色差公式
CIELuv色差公式是以LUV颜色空间为基础建立的色差公式,它是由CIEx-y色度图进行线性变换得到的,线性变换的目的是改善与目测结果对比的均匀性,CIELuv色差公式为:

式中,ΔL*为明度差;Δu',Δv为彩度差;△E*uv为总色差。