颜色色彩管理、配色

色差仪CIE94(△E*94)色差公式是怎样的?
目前,用于色差仪中的色差公式的类型有很多,比较常见色差公式有ΔE*ab、ΔE*uv、ΔE*94、ΔE*cmc(2:1)、ΔE*cmc(1:1)、ΔE*00、DINΔE99等,不同类型的色差公式,其计算式是不同的。那么,色差仪CIE94(△E*94)色差公式是怎样的?本文对此做了介绍。

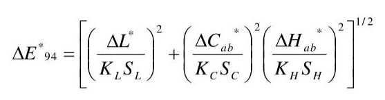
色差仪CIE94色差公式计算式:
CIE94色差公式是CIE于1955年推荐的一个色差公式,其全称为“CIE1994(△L*△C*ab△H*ab)色差模型”,正式缩写形式是CIE94,色差符号为△E*94。△E*94色差公式是CMC(1:c)色差公式的一种改良形式,其结构与ΔE*CMC(l:c)色差公式相似的公式,该公式的计算式如下所示:

式中ΔL*,△C*ab,△H*ab分别表示两种颜色间的明度差、彩度差和色相差。参数因子KL,KC,KH可根据不同的评价对象和评价条件选择不同数值,参考条件下的参数因子数值均为1。当实际的观测条件和应用场合不同于CIE94参照条件时,需要由参数因子kL、kC、kH来调整明度、彩度和色调分色差在总色差中的相对权重。这些因子的定义,应根据相关具体实验观测条件和要求进行分析确定。通常对于除纺织工业以外的一般应用,推荐采用kL=kC=kH=1;对于纺织工业,则建议采用kL=2,kC=kH=1。
色差仪CIE94(△E*94)色差公式的特点:
CIE94色差公式是基于CIELAB色差公式提出的一个色差公式。CIE在推荐CIE94色差公式时,确立了一组适用于该公式的参照条件。其中,照明体是模拟D65的相对光谱功率分布;照度为1000lx;背景是明度L*=50的均匀中性灰色;观察对象是物体色;样品尺寸对应于视角大于4°;样品放置时两直边接触,间隔最小;样品的色差幅度为0~5个CIELAB单位;样品在结构上无视觉明显图样,非均匀性。CIE94色差公式与CMC(l:c)色差公式结构相似,但其权重函数更加简单。
其优点是引入了明度权重函数l和彩度权重函数c,改进了 CIELAB颜色空间的均匀性。其缺点是在a*b*平面上,计算得到的容差椭圆的△C轴全部指向原点,而目视评定结果的容差椭圆。
色差仪CIE94(△E*94)色差公式的应用:
CIE94色差公式是对CIE1976Lab色差公式的早期改进版本,计算比较简单,已经在很多场合得到了应用,也是目前印刷行业测量仪器和应用软件所支持的色差公式之一。在印刷包装行业中,科研工作者和生产质检人员已经意识到了CIE1976LAB色差公式的缺点,开始有意识地选用CIE94色差公式。一些生产检测设备的生产厂商也顺应潮流,在其生产的设备中开始集成CIE94色差公式,目前支持CIE94的仪器有很多,如:TS7036分光色差仪。但是实践表明,这个公式的改善效果并不太理想,使用过程中还存在一定的缺陷。