颜色色彩管理、配色

色差仪△E值什么意思?△E值计算公式有哪些?
色差仪是颜色测量与量化的重要工具,它不仅可以给出样品颜色的信息,还可以给出样品与标样比色后的颜色差异值,△E值是色差仪给出的常见的颜色差异值。那么,色差仪△E值什么意思?△E值计算公式有哪些?本文对此做了详细的介绍。

色差仪△E值的含义:
在颜色测量过程中,采用数据来表达物体色的性质后,在很多情况下还会涉及到两个及两个以上物体色的比较。在适当的照明和观测条件下,如果两个样品具有相同的三刺激值,对于适当的观察者来说它们是一种理想的匹配;若三刺激值不尽相同则它们不匹配,并且整个差异将近似于它们之间能感觉出的颜色差异。
色差用△E表示,△表示差异,E是德语单词Empfindung的第一个字母,含义是感觉。色差的单位是NBS,它是美国国家标准局(National Bureau of Standards)制定的,现为各国普遍采用。当△E=1时称为1个NBS色差单位,1NBS色差单位大约相当于在最优试验条件下人眼所能感觉到的最小色差的5倍。在CIE色度图中,1NBS色差单位相当于 0.0015~0.0025x或y的色度坐标变化。在孟塞尔色系中,一个孟塞尔明度单位等于10个NBS色差单位,1个孟塞尔饱和度单位等于7个NBS色差单位。下表表示NBS单位及在色差视觉上的显著程度。

色差仪△E值计算公式类型:
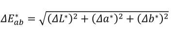
1.ΔE*ab色差公式
ΔE*ab色差公式是CIELAB色差公式的简称,CIELAB色差公式是基于近似均匀的三维颜色空间建立的,由直角坐标L*、a*、b*构成,国际照明委员会推荐使用。该色差公式建立在CIELAB颜色空间之上,在L*a*b*公式中,L*表示明度,a*表示红色和绿色的成分,b*表示黄色和蓝色的成分。色差是指用数值的方式表示两种颜色给人色彩感觉上的差别,若两个颜色都是按照L*a*b*标定的,则两者的总色差计算公式如下计算:

2.ΔE*uv色差公式
ΔE*uv色差公式是由CIE x-y色度图进行线性变换推导而得。线性变换的目的是改善与目测结果对比的均匀性。CIE1976L*u*v*色差公式为:

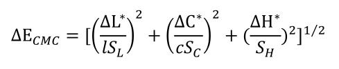
3.ΔE*cmc色差公式
ΔE*cmc色差公式是在CIELAB公式的基础上修改推导出来的,先后被英美两国采用作为各自的国家标准,并于1995年被ISO接受成为国际标准。色差公式如下所示:

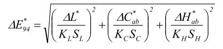
4.ΔE*94色差公式
ΔE*94色差公式是CIE于1955年推荐的一个色差公式,其全称为“CIE1994(△L*△C*ab△H*ab)色差模型”,正式缩写形式是CIE94,色差符号为△E*94。△E*94色差公式是CMC(1:c)色差公式的一种改良形式,其结构与ΔE*CMC(l:c)色差公式相似的公式,该公式的计算式如下所示:

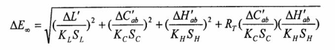
5.ΔE*00色差公式
ΔE*00色差式是CIEDE2000色差公式的简称,是CIE最新推荐的基于CIELAB的色差公式。为了进一步改善工业色差评价的准确性,CIE专门成立了工业色差评价的色相与明度相关修正专业委员会TC1-47,经过该委员会根据对现有色差模型和大量视觉评价数据的大量分析之后,终于在2000年推荐了该公式。其色差式如下所示:

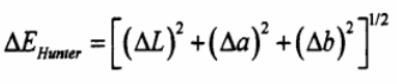
6.ΔE(Hunter)色差公式
Hunter色差公式是由亨特(Hunter)为使光电色度计读数方便,而于1948年提出的Lab对抗色系统中计算色差的公式,大多用于陶瓷、塑料和纺织品等,一般可满足工业生产管理的需要。在该系统中,L表示物体反射光的明度,a表示反射光中红色与绿色的成分,b表示反射光中黄色与蓝色的成分。因此,Lab系统的色差公式可表示为:
