颜色色彩管理、配色

颜色空间的分类及均匀颜色空间CIELAB颜色空间
颜色空间也称颜色模型,是颜色量化分析中常用的一种模型。不同类型的颜色空间,由于其构成理论不同,其对颜色的描述方式也是不同的。本文对颜色空间的类型及均匀颜色空间CIELAB颜色空间做了简要的介绍。

颜色空间的分类:
1.从颜色感知角度分类
(1)混合型颜色空间:按三种基色的比例合成颜色,如RGB,CMY(K)和 XYZ;
(2)非线性亮度/色度型的颜色空间:用一个分量表示非色彩的感知,用两个独立的分量表示色彩的感知,如L*a*b,L*u*v,YUV和 YIQ,当需要黑白图像时,使用这样的系统就非常方便。
(3)强度/饱和度/色调型颜色空间:用饱和度和色调描述色彩的感知,可使颜色的解释更直观,而且对消除光亮度的影响很有用,如HSI,HSL,HSV和Lch。
2.从应用角度分类
(1)RGB型颜色空间/计算机图形颜色空间:主要用于电视机和计算机的颜色显示系统,如RGB,HSI,HSL和HSV。在显示技术和印刷技术中,常被称为颜色模型。
(2)XYZ型颜色空间/CIE颜色空间:由国际照明委员会(CIE)定义的颜色空间,用作颜色的基本度量方法。该颜色空间是与设备无关的颜色表示法,在科学计算中得到广泛的应用。对不能直接相互转换的两个颜色空间,可利用这类颜色空间作为过渡性的颜色空间,如CIE 1931 XYZ,L*a*b,L*u*v和LCh等;
(3)YUV型颜色空间/电视系统颜色空间:由广播电视需求的推动而开发的颜色空间,如YUV,YIQ等,主要目的是通过压缩色度信息以有效地播送彩色电视图像。
均匀颜色空间CIELAB颜色空间:
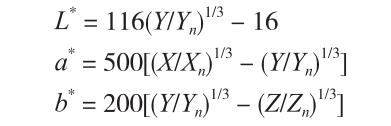
CIELAB颜色空间是一种基于对抗色理论设计的先进且受广泛应用的颜色模型。CIELAB颜色空间通过解耦色调、饱和度和亮度等颜色属性,来降低颜色通道之间的相关性,从而简化颜色的调整过程。该颜色空间的结构基于以下三个坐标轴:明度分量L代表颜色的亮度;红绿分量a*表示颜色在红色和绿色之间的变化;黄蓝分量b*则描述颜色在黄色和蓝色之间的变化。这种构建方式使得CIELAB颜色空间能够以一种非常直观和全面的方式来描述颜色,更接近人眼对颜色的实际感知,该颜色空间及其各分量示意图如下图所示。
在将RGB颜色空间转化为CIELAB颜色空间的过程中,需要经历两个主要阶段。首先,RGB颜色空间需要被转换到CIEXYZ颜色空间中,最后完成将CIEXYZ颜色空间向CIELAB颜色空间的转换。RGB颜色空间转换至CIEXYZ颜色空间的计算方法如下式所示:

其中X、Y、Z代表 CIEXYZ颜色空间中的三个色度坐标,R、G、B代表RGB颜色空间中的红、绿、蓝分量。该转换过程是线性的,矩阵中的每个数字代表转换中的一个系数,它们各自定义了对应颜色分量在新空间中的影响程度。
将CIEXYZ颜色空间向CIELAB颜色空间的转换方式如下式所示:
