颜色色彩管理、配色

CIELuv颜色空间的色差值是怎么计算的?
CIELuv颜色空间是颜色量化中常用的一个颜色空间,该颜色空间是CIE规定的均匀颜色空间,其在表示颜色之间的差异时,与人眼之间具有良好的一致性。那么,CIELuv颜色空间的色差值是怎么计算的?本文对CIELuv颜色空间及其色差值的计算方法做了简要介绍。

CIELuv颜色空间介绍:
CIELuv颜色空间也是基于CIEXYZ颜色空间建立,与CIEXYZ颜色空间之间存在一定的转化关系。CILuv颜色空间的设计目标是使颜色空间中的欧几里得距离更接近人眼感知的颜色差异,即实现视觉上的均匀性。CIELuv颜色空间由L*(亮度)、u*(绿-红方向的色度坐标)、v*(蓝-黄方向的色度坐标)构成,其具体含义如下:
L*:表示颜色的明亮程度,反映了颜色的明暗程度,取值范围从0(绝对黑色)到100(绝对白色)。
u*:表示绿-红方向的色度,是描述颜色在红绿蓝维度上位置的一个参数。u*值的正负和大小反映了颜色在该维度上的偏向和程度。u*为正值时,表示颜色在该维度上偏向红色或黄色方向的程度;u*为负值时,表示颜色偏向绿色或蓝色方向的程度。
v*:表示蓝-黄方向的色度,v*值的变化反映了颜色在另一个维度上的偏向和程度,与u*相互配合来完整地表达颜色的色度特性。v*值为正时,颜色偏向黄色或蓝色方向;v*值为负时,颜色偏向红色或绿色方向。
CIELuv颜色空间的色差值是怎么计算的?
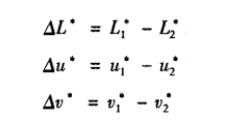
CIELUV色差公式是以CIELUV颜色空间为基础建立的色差公式,在L*u*v*色度体系中,若两个色样样品都按L*、u*、v*来标定颜色,则两者之间的总色差△E*uv以及各项单项色差可用下列公式计算:

式中,ΔE*uv是两个颜色的色差;△L*,△u*,△v*是两个颜色相应量的差,由下式决定:

CIELuv颜色空间与CIEXYZ颜色空间转换关系:
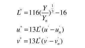
色彩空间转换意味着将一个色彩空间中的颜色特征信息转换到另一色彩空间以,获得相应的颜色信息,即用不同色彩空间中的数据来表示相同的颜色。CIELUV颜色空间的L*,u*,v*是X,Y,Z通过非线性变换得到的,用两点间的距离表示颜色之间的色差。从CIEXYZ颜色空间到CIELuv颜色空间的转换,可以利用下列公式来完成:
