颜色色彩管理、配色

ΔE*cmc色差公式与ΔE*ab色差公式有什么差异?
ΔE*cmc色差公式是在ΔE*ab色差公式的基础上发展起来的一个色差公式,该色差公式比ΔE*ab色差公式具有更好的视觉一致性,且具有相同的字母符号。那么,ΔE*cmc色差公式在形式上与ΔE*ab有什么不同?本文为大家做了分析。

ΔE*cmc色差公式介绍:
ΔE*cmc色差公式在修正ΔE*ab色差公式的基础上,根据视觉关系调整了每个色调方向的色差椭圆大小和形状;改善了彩度差变化与明度之间的关系,使不同彩度的颜色具有不同的色差容限。非彩色区域附近的椭圆较小,彩度高的椭圆较大,色差容限与彩度的变化成正比。它引入了明度权重因子l彩度权重因子c,能够解决暗色和中性色区域的色差结果计算与人眼测量结果相差较大的问题,适应不同的色差需求。
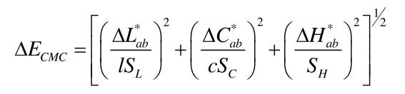
ΔE*cmc公式定义视觉特性为椭圆,椭圆内部所表示的颜色与标准色在视觉特性上表示一致,椭圆外部所表示的颜色则不一样。用椭圆方程定义的色差公式如下所示:

上式中,△L*、△C*、△H*三个参数分别代表明度差、彩度差和色相差,下标为std的代表标准样本。SL、SC、SH椭圆的半轴,l是明度权重因子,c是彩度权重因子,通过改变l,c因子改变相对椭圆半轴的长度来控制色差范围,对于可接受色差取l=2,c=1。
由于ΔE*cmc色差公式与人眼视觉特性一致,因此独立于颜色区域的“单一阈值”可用于对不同的颜色质量控制,为颜色测量和色差评估带来极大的方便。
ΔE*cmc与ΔE*ab色差公式差异:
ΔE*cmc色差公式改进了CIELAB颜色空间的目视均匀性。通过修正CIE1976L*a*b*色差公式,ΔE*cmc色差公式使各色调方向的色差椭圆大小可根据视觉的关系进行改变,比如在红色区域的椭圆比较瘦长,在绿色区域则比较圆;同时它改善了饱和度差随明度的变化关系,将饱和度不同的颜色赋以不同的色差容限,色差容限随饱和度的增加而变大,反之则减小。ΔE*cmc视觉容差椭圆如下图所示:

可以通过容差椭圆图形化的方法来判定ΔE*cmc色差公式中的视觉容差。在该公式中,人眼对颜色三个属性敏感程度的差别分别用SH、SL、SC来加权修正。由SH、SL、SC为半轴定义的椭球是颜色的容差范围,上图中0代表标样的坐标,即椭球的球心。在颜色空间的不同区域,依据具体的颜色值计算色差公式中的加权系数,进而计算色差,它可以实现与目视评定色差最接近的结果。如下图所示:

ΔE*cmc色差公式用单一容差数值就可以裁定色匹配的可接受性,且该容差与标样的颜色无关。用椭球三半轴(CIELAB明度容差ΔL*、彩度容差△C*ab和色调容差ΔH*ab)加权(lXSC、CXSC和SH)导出的色差ΔEcmc(l:c)还可以区分不同情况用以解释其三个独立分量:明度分量ΔL*cmc=ΔL*/lxSL,彩度分量ΔC*cmc=△C*ab/CXSC和色调分量Δ*cmc=ΔH*ab/SH。