颜色色彩管理、配色

RGB、XYZ、CIELab、Hunter Lab颜色空间
RGB、XYZ、CIELab、Hunter Lab是四种不同的颜色空间,它们在颜色表示、应用领域和计算方法等方面各有特点。
RGB颜色空间
基本原理:RGB颜色空间基于红(R)、绿(G)、蓝(B)三种基本颜色,通过这三种颜色的不同比例叠加来产生丰富的色彩。RGB颜色空间主要用于显示和表示图像,是图像处理中最基础、最常用的颜色空间。
应用领域:RGB颜色空间广泛应用于电视、电脑显示器等视频、多媒体与网页设计中。
优点:直观、容易理解。
缺点:RGB颜色空间不是均匀的颜色空间,即空间坐标上等距离的两点并不能表示出颜色的差异性,因此并不适合用作色差检测。

RGB颜色空间示意图
XYZ颜色空间
定义:也称CIE1931颜色空间,由国际照明委员会(CIE)定义。它用X、Y、Z三个值来表示颜色,其中X和Z代表色度,Y代表亮度。
应用领域:XYZ颜色空间主要应用于分光光度计和数字颜色分析器等分析仪器,为这一类仪器提供了待分析样本所需的透射或折射的三色光信号。
特点:XYZ颜色空间是一个设备独立的颜色空间,包含了所有人类能够发觉的颜色。它是基于由实验测定的颜色匹配函数的,因此不同于RGB颜色空间只是表示监视器所能显示的颜色范围,而是显示所有的颜色。但是,它所表示的颜色与人眼感知不太一致,导致在不同颜色对比中存在一定缺陷。因此,该颜色模型往往只是用于线性转换到其他颜色空间的过渡颜色空间。

XYZ颜色空间
Yxy颜色空间:
三刺激值XYZ对定义颜色非常有用,但却不易直接目视其结果,为此CIE于1931年规定了Yxy色空间,它是在二维图上描述颜色,但与亮度无关。Y为物体的反射比,用%数表示(与反射比为100%的理想漫反射相比较)。它对应于颜色三要素的明度其值就等于三刺激值的Y值。色度坐标x、y对应于色三要素的色调和彩度。x、y色度坐标可由下式算得:x=X/(X+Y+Z)y=Y/(X+Y+Z)
(其中X、Y、Z为三刺激值)X轴色度坐标相当于红基色的比例;Y轴色度坐标相当于绿基色的比例,图中没有Z轴色度坐标(即蓝基色所占的比例)。因为比例系数x+y+z=1,Z的坐标值可以推算出来,即z=1-x-y。
CIELab颜色空间
定义:也称为Lab颜色空间,是一种基于人类视觉感知的颜色空间。由CIEXYZ色度系统经过非线性转换得到,用明度指数L*、色品指数a*和b*构成的三维坐标系统来表示颜色感觉。
应用领域:CIELab颜色空间在设计、印刷和颜色质量控制等领域有广泛应用。它是颜色量化最均匀的颜色分布,在样品色差评比系统中,很多公式都是依赖该颜色空间的,是颜色差异的规范化空间,能够解决颜色量化的等距度量,其均匀性较好。该颜色空间两点之间的几何距离,与人眼观察物体的色差大小相同。

CIELab颜色空间
特点:
L*代表亮度,取值范围在0,100,表示从纯黑到纯白。
* a*代表红绿轴上的颜色变化,-a*最小表示绿色,+a*最大表示红色,取值范围在−128,127。
* b*代表黄蓝轴上的颜色变化,-b*最小表示蓝色,+b*最大表示黄色,取值范围同样在−128,127。
CIELab颜色空间解析:
CIELab是CIE1976L*a*b*均匀颜色空间的简称,是由CIEXYZ色度系统经过非线性转换得到的,它用明度指数L*,色品指数a*和b*构成的三维坐标系统来表示颜色感觉,其转换公式如下:

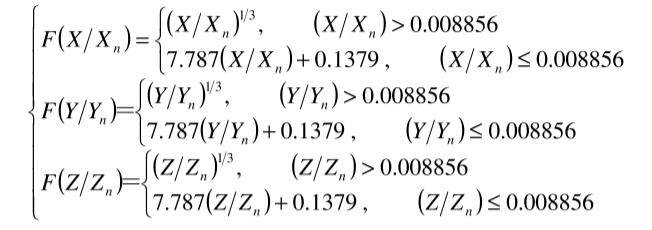
其中F(X/Xn)、FY/Yn)、F(Z/Zn)为分段函数,且具有相同的表达形式:

式中 X、Y、Z 为颜色样品的三刺激值;Xn,Yn,Zn为CIE标准照明体照射到完全漫反射体表面的三刺激值,代表照明光源的颜色。在公式中引入的Xn,Yn,Zn目的是模拟色适应的效果,即无论照明光源的颜色如何,当它照射在完全漫反射体上,且眼睛适应了该光源后,所产生的颜色感觉都应该是白色,色品指数a*和b*都应该为0,即抵消了光源本身的颜色。

CIElab颜色空间示意图
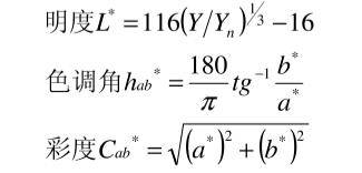
在上图中,由几何关系可以看出,任一个坐标位置为p的颜色样品,其明度、色调和彩度三个感觉特征量可用下列公式计算表示:

其中,明度L*的取值范围为0~100,0对应着黑色,100对应着白色。色调角h*ab的范围为0°~360°,以正a*轴作为0°方向,按逆时针旋转为正。彩度C*ab为a*-b*平面上样品的坐标点距离原点的距离或半径。上式对转换式式和上图所示的直角坐标系进行了变换,从直角坐标系变换到柱面坐标系,用明度L*、色调角h*ab和彩度C*ab表示颜色感觉。
Hunter Lab颜色空间
定义:由Richard.S.Hunter创立的,是一种常用于颜色测量的颜色空间。它使用L、a、b三个参数来表示颜色,其中L代表颜色的深浅,a代表颜色的红绿方向,b代表颜色的黄蓝方向。
应用领域:Hunter Lab系统常用于陶瓷工业、塑料工业和纺织工业。

Hunter Lab颜色空间
特点:
L值越大,物体颜色越白;L值越小,物体颜色越黑。
沿(+a)方向红色逐渐加深,沿(-a)方向绿色逐渐加深。
沿(+b)方向黄色逐渐加深,沿(-b)方向蓝色逐渐加深。
Hunter Lab颜色空间解析:
Hunter Lab颜色空间是一个基于对立颜色学说的三维矩形空间,如下图所示,与CIE L*a*b*色彩体系相类似,同一颜色在这两个颜色空间中的数值是不同的,Hunter Lab在颜色空间的蓝色部分是收缩的,CIE L*a*b*在颜色空间的黄色部分是过度扩张的;都是由CIE XYZ体系导出的。

L(明度)轴:其中)代表黑,100代表白。
a(红一绿)轴:其中正值为红;负值为绿。
b(蓝一黄)轴:其中正值为黄;负值为蓝。
L值越大,物体颜色越白;L值越小,物体颜色越黑。沿(+a)方向红色逐渐加深,沿(-a)方向绿色逐渐加深。沿(+b)方向黄色逐渐加深,沿(-b)方向蓝色逐渐加深。
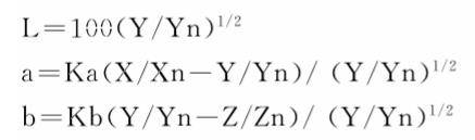
Hunter Lab色度参数技术公式如下:

其中:L为明度;a、b为色度;X、Y、Z为物体的三刺激值;Xn、Yn、Zn为完全反射面的三刺激值;Ka、Kb为调整因子。
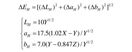
该系统的L,a,b值的表示及其色差公式为:

式中 X,Y,Z 为样品的三刺激值。Hunter Lab系统常用于陶瓷工业、塑料工业和纺织工业。
CIELch颜色空间
LCH颜色空间是Lab空间变形后得到的圆柱形颜色空间。该颜色空间由L、C、H表示。纵坐标L*值同样对应于颜色三要素的明度,取值0-100;C*代表彩度,即某一颜色的坐标位置与原点的距离,取值0-181,圆心处颜色的饱和度C*值为0,离圆心越远C*的值越大;H*为色调,取值0°-360°,h*代表色调角,是某一颜色坐标在色品平面内的投影点和坐标原点的连线与a轴的夹角。规定h*从正a轴(红)开始为0°,逆时针为正,正b轴(黄)为90°,负a轴(绿)为180°,负b轴(蓝)为270°。

CIELch颜色空间
CIELuv颜色空间
CIELUV颜色空间是CIE1976L*u*v*均匀颜色空间的简称,在CIELUV空间中,L*为明度,u*、v*为色品指数。三者相互垂直构成色空间来描述相对应的亮度和色度量:垂直的轴是明度L*,位于水平面且互相垂直的是色品指数u*和 v*。
CIELUV颜色空间与CIELAB颜色空间相似,L*,u*,v*是X,Y,Z通过非线性变换得到的,同样用两点间的距离表示颜色之间的色差。CIEL*u*v*和CIEL*a*b*有一些共同的特点。首先,它们的颜色空间虽然距完全均匀仍有距离,但基本上是均匀的。其次,由于是基于颜色测量的CIE系统,CIEL*u*v*和CIEL*a*b*都是与设备无关的颜色空间。与CIELAB颜色空间不同,CIELUV颜色空间更多地应用于光源色和自发光色领域。

CIELuv颜色空间
综上所述,RGB、XYZ、CIELab、Hunter Lab颜色空间各有其特点和应用领域。在实际应用中,需要根据具体需求选择合适的颜色空间。