颜色色彩管理、配色

CIELab均匀颜色空间及均匀颜色空间色差公式
CIELab颜色空间是色度学规定的用于颜色测量的均匀颜色空间之一,目前许多的颜色测量仪器或行业,都是以CIELab颜色空间来对颜色进行量化的描述。本文对CIELab均匀颜色空间及均匀颜色空间色差公式做了介绍。

CIELab均匀颜色空间介绍:
CIE1931-XYZ表色系统和CIE1964-XYZ补充标准色度系统虽然在很多领域得到了广泛的应用,但其色品图在视觉上是非均匀的,即不同色区中的颜色感知差异容限大小不同,而且相应的色度值不能用于表达直观的视觉感受量,最理想的状态就是找到一种最均匀的颜色空间。
CIE在1976年推荐了CIELAB均匀颜色空间,也叫CIE1976L*a*b*均匀颜色空间。该空间是以对立坐标理论为基础建立起来的,由L*(明度)和a*、b*(色品坐标)构成直角坐标系。其中,a*为红绿坐标,正方向为红,数值愈大颜色愈红;负方向为绿,数值愈小颜色愈绿。b*为黄蓝坐标,正方向为黄,数值愈大颜色愈黄;负方向为蓝,数值愈小颜色愈蓝。其表达式为:

式中,X、Y、Z是物体的三刺激值,Xn、Yn、Zn为CIE标准照明体的三刺激值,Y/Yn>0.01。
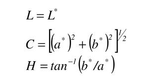
这种三维直角坐标系也可以转换成柱坐标L*(明度)、C*(饱和度)、h*(色相角),用相应的颜色属性来描述更易于理解,转换公式如下:

式中,C*为饱和度值,h*为色相角。对于色相角h*,当a*>0且b*>0时,0°<h*<90°;当a*<0且b*>0时,90°<h*<180°;当a*>0且b*<0时,180°<h*<270°;当a*>0且b*<0时,270°<h*<360°。
CIELab均匀颜色空间色差公式:
色差是两个试样在颜色视觉上差异的量值,是明度差、饱和度差和色相差的综合效应。从1976年至今,研究者们总结出的色差公式将近40种,比较经典的有CIELAB(CIE1976L*a*b*)、JPC79、CMC(l:c)、CIE94、CIEDE2000、ISO、ANLAB、FMCII、CIE1976LUV、BFD(l:c)和LCD色差公式。下文主要介绍CIELAB和CIEDE2000色差公式。
1.CIELAB色差公式
CIELAB色差公式是基于CIELAB均匀颜色空间的色差公式,在CIELAB均匀颜色空间中,两个颜色的色差用色度坐标所对应的欧几里德距离来表示。公式为:

式中:△L*、△a*和△b*分别是CIELAB均匀颜色空间中三个标尺的差值,△E*表示色差。
色差还可以用明度差L*、饱和度差△C*和色相差△H*来定义:

2.CIEDE2000色差式
在综合已有色差公式的基础上,通过大量视觉实验和色差评估实验,CIE于2000年推荐的CIEDE2000标准,不仅包含有明度差△L*、饱和度差△C*和色相差△H*的加权函数,还加入了饱和度差△C*与色相差△H*的交叉项和改善中性色色差预测能力的函数项。具有较好的均匀色差特性和综合色差视觉感受标准,引起广泛的注意。其表达式为:

CIEDE 2000色差式加权因子项最为复杂,对色差描述综合能力也最好,是目前国际照明委员会推荐使用的色差计算公式。应用于不同领域,其加权因子取值也不同:在纺织印染领域,通常取kL=2,kC=kH=1。