颜色色彩管理、配色
咨询热线:400-888-5135 020-82880288

颜色定量描述中比较常见的几个颜色模型
信息来源:三恩时品牌厂家
浏览次数:879
发表时间:2025-10-14
颜色模型也称颜色空间,是一种用人们可接受的方式对颜色进行描述的一种方法。在颜色的定量描述与测量中,经常会用到各种各样的颜色空间。本文对颜色定量描述中比较常见的几个颜色模型做了介绍。

RGB颜色模型:
根据RGB三基色原理,每种颜色都可以由红、绿、蓝三种基色进行加权产生。RGB模型基于笛卡尔系统,可以用下图的单位立方体来进行描述。

图中,R,G,B分别位于3个角上,黑色在原点处,白色在离原点最远的角上,灰色等级沿着黑白两点的连线分布。为了方便起见,所有的颜色范围都进行了归一化。
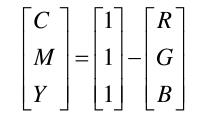
CMY颜色模型:
CMY常用在印刷工业上,通过减色合成法来产生其他颜色。CMY到RGB的转换公式如下。

黑色可以使用等量的色彩产生。由于实际情况下产生的黑色是不纯的,因此在打印时,往往加入第四种颜色-黑色,即CMYK模型。
HSI颜色模型:
RGB和CMYK对硬件实现来说很理想,但是并不适于人类视觉对色彩的感知与理解。人类视觉常用色调、色饱和度和亮度来对物体进行描述。HSI(色调、饱和度、亮度)彩色模型描述就是一种对人类视觉自然而直观的模型。其与RGB模型转换公式为:

CIEXYZ颜色模型:
1931年国际照明委员会CIE 定义了CIE-XYZ颜色模型,用于解决RGB模型生成颜色时比例系数出现负值的现象。RGB模型与XYZ模型转换公式如下:

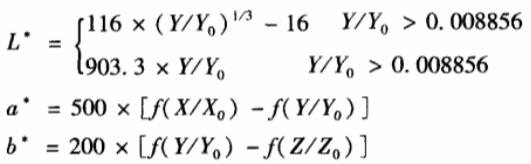
CIELab颜色模型:
CIELab是为了计算对应的孟塞尔色排序系统而产生的,同时它也是惯常用来描述人眼可见的所有颜色的最完备的色彩模型。它可有由CIEXYZ基本系统得到,转换公式如下:

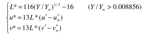
CIELuv颜色模型:
与CIELab颜色模型类似,CIELuv颜色模型也是由CIEXYZ模型扩展得来,其转换公式如下:

上一页 : 色差仪CIE标准色度系统之CIEXYZ表色系统
下一页 : RGB颜色空间及RGB颜色空间色差值的计算