颜色色彩管理、配色
咨询热线:400-888-5135 020-82880288

HSV颜色空间及HSV颜色空间色差公式
信息来源:三恩时品牌厂家
浏览次数:788
发表时间:2025-08-14
颜色空间又称为彩色模型,其作用是在某些标准下用通常可接受的方式对彩色加以说明。根据基本结构的差异,可将颜色空间分为:基色颜色空间和色、亮分离颜色空间,HSV颜色空间就是常见的色、亮分离颜色空间。本文对HSV颜色空间及HSV颜色空间色差公式做了介绍。

HSV颜色空间介绍:
HSV颜色空间也是用三个颜色特征量来描述颜色的,分别是色调H(Hue)、饱和度S(Saturation)以及亮度V(Value)。在该颜色空间中,用角度表示色调这一颜色的主要特征,光波波长的长短导致了色差区别;饱和度表示色彩的强弱,其强弱程度取决于可见光波长的单纯程度;亮度和光波的能量有关,表示物体表现出来的明暗程度。该空间的三维模型如下图所示。

在HSV颜色模型中,每一种颜色和它的补色相差180。饱和度S取值从0到1,所以圆锥顶面的半径为1。HSV颜色模型所代表的颜色域是CIE色度图的一个子集,这个模型中饱和度为百分之百的颜色,其纯度一般小于百分之百。在圆锥的顶点(即原点)处,V=0,H和S无定义,代表黑色。圆锥的顶面中心处S=0,V=1,H无定义,代表白色。从该点到原点代表亮度渐暗的灰色,即具有不同灰度的灰色。对于这些点,S=0,H的值无定义。可以说,HSV模型中的V轴对应于RGB颜色空间中的主对角线。在圆锥顶面的圆周上的颜色,V=1,S=1,这种颜色是纯色。HSV颜色空间可以与 RGB颜色空间相互转换,但是从人的视觉感知角度来讲,HSV颜色空间是一种比较直观的颜色模型。
HSV颜色空间色差公式:
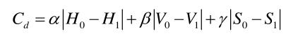
HSV颜色空间具有色调H(Hue)、饱和度S(Saturation)以及亮度V(Value)三个颜色特征分量。但是主要的颜色信息集中在色调H和饱和度S上,只有一小部分S分量会影响颜色信息。因此,在色差公式的计算上也应有相应的体现。

式中,α+β+γ=1。
下一页 : 颜色定量分析中常用颜色空间类型及其特点