颜色色彩管理、配色

颜色空间的分类及均匀颜色空间CIELab解析
颜色空间也称颜色模型,是用数字的形式对颜色进行表达的一种方式。不同类型的颜色空间由于构成的不同,其表达颜色的方式也不同。本文对颜色空间的分类及均匀颜色空间CIELab做了解析。

颜色空间的分类:
用于表示物体颜色的体系称为表色系,分为混色系、显色系、均匀色空间和色貌模型四种。
混色系,是以颜色加法混合的三原色理论为基础构建的表色系统,可以在该表色系下标定样品的颜色坐标,如1931CIE-RGB颜色空间。
显色系,是指以装订成色卡图册的实物样品为基础构建的表色系统,可用于目测祥品颜色时的对比色卡,如1943年孟塞尔提出的孟塞尔显色系、瑞典自然色系(NCS)。
均匀色空间,是以前两类的研究结果为基础构建的,既可准确地标定祥品的颜色坐标,而且色空间中的颜色差异更符合人眼的色觉,如CIE1960均匀颜色空间、C1E1964均匀颜色空间、CIE1976L*a*b*和CIE1976L*u*v'均匀色空间等,其中CIE1976L*a*b*是最常用的颜色空间。
色貌模型,是以人眼观察的各种參数为基础构建的,能准确描述人眼在不同背景、环境、周围场等状态下颜色观察结果的表色系统,如CIECAM02色貌模模型。
以上四类表色系均能定量的表示物体的颜色,定量的分析物体之间颜色的差异,但我们需要一种能和人眼色觉一致的表色系。在四类表色系中,均匀色空间最接近人眼的实际效果。CIEL*a*b*色空间的各颜色指数的均匀性优于其它色空间,CIEL*a*b*的特点是当颜色的色差大于视觉的识别阈限(恰可察觉)而又小于孟塞尔系统中相邻两级的色差值时,能较好地反映物体色的心理感受效果。
均匀颜色空间CIELab解析:
CIEL*a*b*(CIELAB)色空间是由纵坐标L*、水平的a*和b*轴构成的三维立体坐标系,如下图所示。纵坐标轴L*表示明度,值越大样品的明度值越高,取值范围为0~100,纯黑位于最下端,对应明度L*=0;纯白色最亮,位于最上端,对应明度L*=100。a*和b*是色度坐标,正负值代表颜色的方向,+a*表示红色方向,值越大红色饱和度越高,-a*代表绿色方向,绝对值越大代表绿色越鲜艳,a*值范围为-128~127;+b*为黄色方向,值越大黄色越鲜艳,-b*为蓝色方向,绝对值越大表示蓝色饱和度越高,b*值范围为-128~127。

右图是CIEL*a*b*色空间的极坐标表示法,由L*、C*、H表示。纵坐标L*值同样对应于颜色三要素的明度,C*代表彩度,即某一颜色的坐标位置与原点的距离,圆心处颜色的饱和度C*值为0,离圆心越远C*的值越大;H为色调,代表色调角,是某一颜色坐标在色品平面内的投影点和坐标原点的连线与a轴的夹角。规定*从正a轴(红)开始为0°,逆时针为正,正b轴(黄)为90°,负a轴(绿)为180°,负b轴(蓝)为270°。
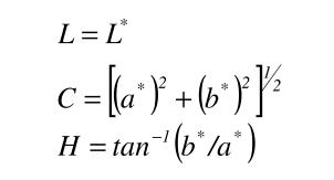
CIELCH色彩空间是从CIELab色彩空间推导出来的,一种颜色可以用LAB表示,也可以用LCH表示。CIELab与CIELCH之间的转换关系为:

在CIELab颜色空间中,若两个颜色都是按照L*a*b*标定的,则两个颜色之间的色差可以用欧式距离来计算:

其中,△L*是CIELAB空间的明度差,△a*是CIELAB空间的红绿色光差,△b*是CIELAB空间的黄蓝色光差。
△a*和△b*表示样本和标准在ab*平面上位置的改变。如果将CIELab均匀颜色空间转化为极坐标空间,则能更好地表示色差的性质,极坐标空间用LCH表示。因此,CIELAB色差公式也可以用明度差△L*、彩度差△C*ab和色相差△H*ab来定义,即:
