颜色色彩管理、配色

测色色差计的组成及测色色差计的工作原理
测色色差计是颜色测量中比较常用的仪器,这类仪器可以对颜色进行量化,克服人眼测色的主观性与局限性,以具体的数字显示颜色信息及颜色差异,对颜色进行定量的分析。本文对测色色差计的组成及测色色差计的工作原理做了介绍。

测色色差计的组成:
测色色差计是由照明、探测和数据处理3部分组成。照明系统是由光源和光学系统组成,光源选用发光效率较高而且光通量稳定的卤钨灯,光学系统是由透镜和隔热玻璃组成;光源发出的光经过凸透镜后变成平行光,它经隔热玻璃滤掉红外和紫外部分后作为载波作用于被测对象。探测系统是由光学变换和光电转换两部分组成,光学变换是通过光接收器一一积分球、挡板、滤色片实现的;经光学变换后的光载波中含有被测对象的信息,称为光信号。光信号被光电探测器接收,并转换成易于处理的电信号。数据处理系统包括放大电路、A/D转换、中央处理器、显示、打印等数据输出。
测色色差计的工作原理:
测量物体的颜色就是求出物体颜色三刺激值的过程。目前主要有两类测量方法:分光光度法和三刺激值法。前者测量准确度高,但系统构成复杂,操作复杂,成本高,适用于要求较高的测色与配色场合;光电积分测色仪器是三刺激值读法测色仪,光电积分器件的光谱灵敏度应满足标准色度系统的色匹配函数,能直接测量物体的三刺激值。计算出物体色三刺激值之后,还要进行神经网络非线性校正,这样就可以得到显示的三刺激值。
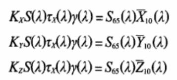
光电积分式仪器总的光学条件应符合卢瑟条件。在D65光源10°视场下的卢瑟条件:

式中:
Kx、Ky、Kz为与波长无关的常数;S(λ)为仪器所用的标准光源光谱功率分布;τx(λ)、τy(λ)、τz(λ)为仪器特定滤色器的光谱透过率;γ(λ)为仪器探测器的相对光谱响应度;S65(λ)为标准照明体D的相对光谱功率分布;X10(λ)、Y10(λ)、Z10(λ)为10°视场补充标准色度观察者光谱三刺激值。