颜色色彩管理、配色

色差仪常用色差公式的类型及色差公式计算式
色差仪作为颜色比对仪器,其大多会配置多种类型的色差公式,用于测色时,对颜色之间的差异值进行计算。本文对色差仪常用色差公式的类型及色差公式计算式做了介绍,对色差公式知识感兴趣的朋友不妨了解一下!

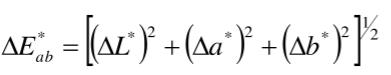
色差仪ΔE*ab色差公式及计算式:
ΔE*ab色差公式是CIELAB色差公式的简称,是色差仪中目前使用最为广泛的一个色差公式。CIELAB色差公式是基于近似均匀的三维颜色空间建立的,由直角坐标L*、a*、b*构成,国际照明委员会推荐使用。该色差公式建立在CIELAB颜色空间之上,在L*a*b*公式中,L*表示明度,a*表示红色和绿色的成分,b*表示黄色和蓝色的成分。若两个颜色都是按照L*a*b*标定的,则两个颜色之间的色差可以用欧式距离来计算:

其中,△L*是CIELAB空间的明度差,△a*是CIELAB空间的红绿色光差,△b*是CIELAB空间的黄蓝色光差。△a*和△b*表示样本和标准在ab*平面上位置的改变。如果将CIELab均匀颜色空间转化为极坐标空间,则能更好地表示色差的性质,极坐标空间用LCH表示。因此,CIELAB色差公式也可以用明度差△L*、彩度差△C*ab和色相差△H*ab来定义,即:

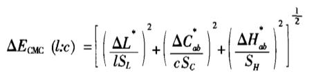
△E*CMC色差公式及计算式:
△E*CMC是CMC(l:c)色差公式的简称,△E*CMC在修正CIELAB色差公式的基础上,根据视觉关系调整了每个色调方向的色差椭圆大小和形状;改善了彩度差变化与明度之间的关系,使不同彩度的颜色具有不同的色差容限。CMC(l:c)公式定义视觉特性为椭圆,椭圆内部所表示的颜色与标准色在视觉特性上表示一致,椭圆外部所表示的颜色则不一样。用椭圆方程定义的色差公式如下所示:

上式中,△L*、△C*、△H*三个参数分别代表明度差、彩度差和色相差,下标为std的代表标准样本。SL、SC、SH椭圆的半轴,l是明度权重因子,c是彩度权重因子,通过改变l,c因子改变相对椭圆半轴的长度来控制色差范围,对于可接受色差取l=2,c=1。
△E*94色差公式及计算式:
△E*94色差公式全称为“CIE1994(△L*△C*ab△H*ab)色差模型”,正式缩写形式是CIE94。△E*94色差公式是CMC(1:c)色差公式的一种改良形式,其结构与ΔE*CMC(l:c)色差公式相似的公式,该公式的计算式如下所示:

式中ΔL*,△C*ab,△H*ab分别表示两种颜色间的明度差、彩度差和色相差。参数因子KL,KC,KH可根据不同的评价对象和评价条件选择不同数值,参考条件下的参数因子数值均为1。当观察条件改变时,可以对各参数进行单独改变以适应视觉上每个颜色分量(明度、彩度、色相)的变化。在印刷行业中推荐使用kL=1.4,kC=kH=l;在纺织行业中,当kL=2,kC=kH=1时,CIE94色差公式计算结果与视觉评价更接近。
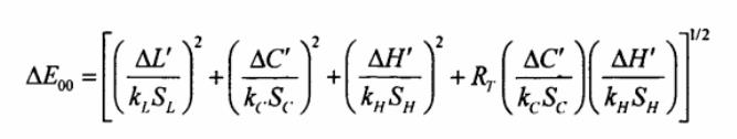
△E*00色差公式及计算式:
ΔE*00色差式是CIEDE2000色差公式的简称,是CIE最新推荐的基于CIELAB的色差公式。CIE2000色差公式重新定义了色差计算方法,使得在整个CIELab(L*a*b*色度空间)中,色差计算值与人眼评估更为接近。新的色差公式在原色差计算公式基础上,另外特别引用了三个新的重量系数SL,SC和SH,分别代表了在亮度△L*、饱和度△C*和色调△H*方向上的差异程度。其计算公式如下:

式中:KL、KC、KH是三个常量参数,根据测试对象的不同或者色彩品质控制的要求来定义,在纺织行业中,KL一般取2,KC和KH一般取1;SL、SC、SH分别表示明度、彩度和色相的权重系数,用来校正颜色空间的均匀性;RT表示旋转函数,用来校正颜色空间中蓝色区域容差椭圆主轴方向的偏转。