颜色色彩管理、配色

色差用什么表示?CIE94公式怎么计算色差?
色差是颜色质量管控中一个重要的指标,它表示的是两个色样之间的颜色差异值,常用于评价产品的颜色是否合格。那么,色差用什么表示?CIE94公式怎么计算色差?本文对色差的表示方法及CIE94色差公式做了介绍。

色差用什么表示?
色差用△E表示,△表示差异,E是德语单词Empfindung的第一个字母,含义是感觉。色差的单位是NBS,它是美国国家标准局(National Bureau of Standards)制定的,现为各国普遍采用。当△E=1时称为1个NBS色差单位,1NBS色差单位大约相当于在最优试验条件下人眼所能感觉到的最小色差的5倍。在CIE色度图中,1NBS色差单位相当于 0.0015~0.0025x或y的色度坐标变化。在孟塞尔色系中,一个孟塞尔明度单位等于10个NBS色差单位,1个孟塞尔饱和度单位等于7个NBS色差单位。下表表示NBS单位及在色差视觉上的显著程度。

CIE94公式计算色差方法:
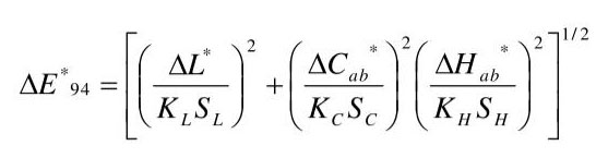
CIE94色差公式即CIE1994(△L*△C*ab△H*ab)色差模型,其缩写形式是CIE94,色差符号为△E*94。△E*94色差公式是CMC(1:c)色差公式的一种改良形式,其结构与ΔE*CMC(l:c)色差公式相似的公式,该公式的计算式如下所示:

式中ΔL*,△C*ab,△H*ab分别表示两种颜色间的明度差、彩度差和色相差。参数因子KL,KC,KH可根据不同的评价对象和评价条件选择不同数值,参考条件下的参数因子数值均为1。当观察条件改变时,可以对各参数进行单独改变以适应视觉上每个颜色分量(明度、彩度、色相)的变化。
CIE94色差公式沿用了变化参数的思想,对关系颜色差别的三要素明度、彩度和色相给出了更好的参考。常用的参考数值仅仅对明度的取值进行改变,例如,评价纺织品是明度的参数因子取值为2,而在印刷行业中推荐的明度参数因子的取值为1.4,这两种情况下其他两者的取值与参考条件下的取值相同。
CIE94色差公式特点:
CIE94色差公式是基于CIELAB色差公式提出的一个色差公式。CIE对ΔE*94色差公式的改进工作涉及两个方面:色差距离的均匀性和参量对知觉色差的影响。应用加权函数校正CIELAB空间的均匀性,与此同时定义一组基本条件,在基本条件下应用草案时无需对参量效应校正,推荐草案改进CIELAB空间的均匀性获得了预期的成功,而且ΔE*94色差公式加权函数比△ECMC(l:c)色差公式简单得多。
另外,CIE在推荐CIE94色差公式时,确立了一组适用于该公式的参照条件。其中,照明体是模拟D65的相对光谱功率分布;照度为1000lx;背景是明度L*=50的均匀中性灰色;观察对象是物体色;样品尺寸对应于视角大于4°;样品放置时两直边接触,间隔最小;样品的色差幅度为0~5个CIELAB单位;样品在结构上无视觉明显图样,非均匀性。
CIE94色差公式与CMC(l:c)色差公式结构相似,但其权重函数更加简单。其优点是引入了明度权重函数l和彩度权重函数c,改进了 CIELAB颜色空间的均匀性。其缺点是在a*b*平面上,计算得到的容差椭圆的△C轴全部指向原点,而目视评定结果的容差椭圆。