颜色色彩管理、配色

色差仪积分球的作用及积分球测色原理
积分球是积分球色差仪的一个重要的部件,这类仪器使用积分球使光线在球内经过多次反射后形成均匀的漫射光,照射到被测样品表面,使样品表面受光均匀,消除样品表面对测量结果的影响。本文对色差仪积分球的作用及积分球测色原理做了介绍。

色差仪积分球的作用:
色差仪的积分球发出光的作用是将来自被测物体表面的所有可见光都集中在一个小圆球上,然后通过狭缝将这些光传到积分球中心。此时,透过狭缝看到的是积分球内部的光斑。由于积分球内部具有很多颗粒,因此可以将各个波长的光分开。
积分球是一个容器,用来吸收反射光线。当反射光线穿过积分球时,它会被吸收并传递到仪器内部的光学元件上。这些元件将光信号转化为电信号,然后将它们输出到显示器上。通过测量电信号的大小,我们就能得到颜色的数值。
使用积分球的目的是使进入它内部的光,经内壁漫反射层多次反射后,在整个内壁面上得到均匀的照度,并且该照度较入射光通量除以球内壁面积的照度值大得多(可提高性噪比)。在颜色测量仪器中,积分球具有以下两方面功能:
1.光接收器
被测光经积分球上的小孔进入球内,在内壁上设置一个或多个探测器。由光探测器输出的光电流与积分球内壁的光照度成正比,也就是与进入积分球的光通量成正比。这样,就可以根据输出光电流的变化,得知进入积分球的光通量变化。
2.均匀照亮的物面
在积分球内壁上与出光孔对称且均匀地放置几个灯泡(通常有四个或六个)。由灯泡发出的光经内壁多次漫反射而形成一个均匀照亮的发光球面,用它可作为被测光学系统的、亮度均匀的、大视场的物面(光学系统入瞳与出光孔基本重合)。该积分球用于照相物镜的渐晕系数和像面照度均匀性的测量。
色差仪积分球测色原理:
积分球是一个内壁涂有白色漫反射材料(漫反射系数接近于1,常用的是氧化镁或硫酸钡)的空腔球体,内壁是良好的球面(要求与理想球面的偏差应不大于内径的0.2%)。氧化镁涂层在可见光谱范围内的光谱反射比都在99%以上,这样,进入积分球的光经过内壁涂层多次反射,在内壁上形成均匀照度。当积分球用于颜色测量仪器时,球体会有多个开孔,结构示意图如下图。具体包括光孔,用于光源进入球体;测量孔,与被测物体紧密接触;接收器孔,在测量孔对面,一般与被测样品表面的法线呈8°夹角,用于采集物体的反射光;镜面反射孔,位于与接收器孔相对于法线对称的地方,这个孔可以关闭和打开,并放置光吸收阱,用来控制镜面反射光的采集(SPIN,Specular Included)与排除(SPEX,Specular Excluded)。

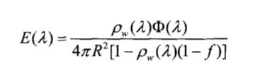
当一束辐通量为Φ(λ)的光源经光孔进入内球半径为R的积分球内,经涂层多次漫反射后,形成均匀照明。设除投射面外,其余内壁任一点M处的总照度E(λ)可用下表示:

式中:E(λ)为M点的总光谱幅照度;ρw(λ)为积分球内壁的光谱反射比;Φ(λ)为进入进入积分球的光谱辐通量;R为积分球内球半径;f为积分球开口球面面积与积分球总的内反射表面积之比。
式中,当一束辐通量进入理想积分球后,除投射面外,球内表面任意点的照度(包括球壁开口处球面上的照度)只是球的几何尺寸、涂层的漫反射比、进入球的辐通量的函数,而与位置无关。在颜色测量中,样品表面的物理状况会影响光的传播,当表面比较光滑时,样品光泽较高,镜面反射光会比较强,散射会比较弱;当表面比较粗糙时,样品光泽较低,镜面反射光会比较弱,散射会比较强。对于相同材质的样品,若只是光泽差异,在包含镜面反射状态下测量结果应该是一致的,这时其反映的是材质本身的颜色,称之为真实色;但在排除镜面反射状态下,样品间的差异会比较大,数据反映的是材质和表面物理状况的综合变化,称之为表观色。因此,积分球仪器在涂料行业,以及纺织、塑料、纸张等行业被广泛应用。