颜色色彩管理、配色

色差仪CIELab颜色空间及CIELab色差公式
色差仪在测量颜色时,是以国际上通用的CIELab颜色空间为依托,将颜色之间的差异值即色差,通过CIELab色差公式计算并给出具体数字,以此作为颜色合格与否的判断标准。本文对色差仪CIELab颜色空间及CIELab色差公式做了介绍,对色差仪测色知识感兴趣的朋友不妨了解一下!

色差仪CIELab颜色空间:
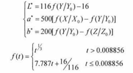
CIELab颜色空间是CIE1976L*a*b*均匀色度系统的简称,该颜色空间用三个维度来对颜色进行描述,其中:L*代表明度,a*、b*代表色度;+L*、-L*、+a*、-a*、+b*、-b*分别代表白、黑、红、绿、黄、蓝。CIELab颜色空间的定义为:

式中X0、Y0、Z0——CIE 标准照明体照射到完全漫反射体上,再经过完全漫反射面反射到观察者眼中的白色的三刺激值,Y0=100;X、Y、Z——某颜色三刺激值;L*——米制亮度;a*、b*——米制色度
CIELab色度系统具有设备无关性,适用于一切光源色和物体色的表示和计算。
色差仪CIELab色差公式:
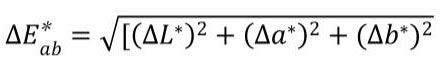
CIELab色差公式使用L*a*b*中两种颜色的欧氏距离描述颜色的差别。假设两个颜色样本(L1*,a1*,b1*)和(L2*,a2*,b2*),则它们的△E*ab定义为:

式中:△L*=L1*-L2*、△a*=a1*-a2*、△b*=b1*-b2*,△L*明度差,△a*、△b*色度差。
该色差公式考虑了心理颜色的特点,对颜色空间均匀性有了很大改善,计算过程也相对简单,所以该公式被广泛的使用。但实际上,人们发现CIELab颜色空间的均匀性与人眼的真实颜色感觉存在微小差异。例如,接近中性色的颜色宽容量椭圆最小;随着彩度增大,椭圆也随着增大;除蓝色外,大多数椭圆的长轴都指向原点,即不同颜色区域的颜色宽容量不同,人眼对不同颜色宽容量的变化趋向也不一致。
色差仪CIELab色差值的含义:
CIELab色差公式中,L*表示明度,a*表示红色和绿色的成分,b*表示黄色和蓝色的成分。色差是指用数值的方式表示两种颜色给人色彩感觉上的差别,若两个颜色都是按照L*a*b*标定的,则两者的总色差以及各单项色差的含义如下:
明度差:△L*=L1*-L2*。△L*>0,表示样品色比标准色浅,明度高;若△L*<0,说明样品色比标准色深,明度低。
色度差:△a*=a1*-a2*、△b*=b1*-b2*。△a*>0,表示祥品色比标准色偏红;若△a*<0,说明样品色比标准色偏绿。△b*>0,表示样品色比标准色偏黄;若△b*<0,说明样品色比标准色偏蓝。
总色差:△E*ab=[(△L*)2+(△a*)2+(△b*)2]1/2。一般可用△E*ab评价色差,△E*ab值越小表示色差越小;△E*ab值越大表示色差越大。
彩度差:△C*ab=C*ab,1-C*ab,2。△C*ab>0,表示样品色比标准色彩度高,含“白光”或“灰分”较少;若△C*ab<0,说明样品色比标准色彩度低,含“白光”或“灰分”较多。
色相角差:△h*ab=h*ab,1-h*ab,2。△h*ab>0,表示样品色位于标准色的逆时针方向上;△h*ab<0,说明样品色位于标准色的顺时针方向上。根据标准色所处的位置,就可以判断样品色是偏绿还是偏黄。
色相差:△H*ab=[(△E*ab)2-(△L*)2-(△C*ab)2]1/2。△H*ab表示样品色相角与标准色相角的差,△H*的计算结果由a*b*平面上的样品颜色点相对于标准颜色点的位置所决定,在顺时针向上△H*ab为正值,在逆时针方向上△H*ab为负值。